The time it takes to complete the worksheet varies by individual, but it can typically be done in one or more sessions, depending on personal insights and reflections.

Fostering Closeness in Your Relationships PTSD Worksheet
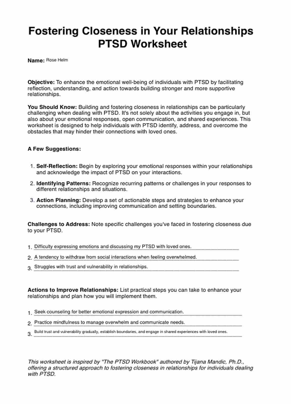
Want to heal from trauma and improve relationships? Find help with the Fostering Closeness in Your Relationships PTSD Worksheet today!
Use Template
Fostering Closeness in Your Relationships PTSD Worksheet Template
Commonly asked questions
The worksheet can be used by reflecting on your emotional responses in relationships, identifying patterns, and planning actions to improve closeness and understanding with loved ones.
The worksheet is best used when you want to enhance your relationships and emotional well-being, especially if you're dealing with the challenges of PTSD or trauma-related issues
EHR and practice management software
Get started for free
*No credit card required
Free
$0/usd
Unlimited clients
Telehealth
1GB of storage
Client portal text
Automated billing and online payments










