What is a Living Will Form?
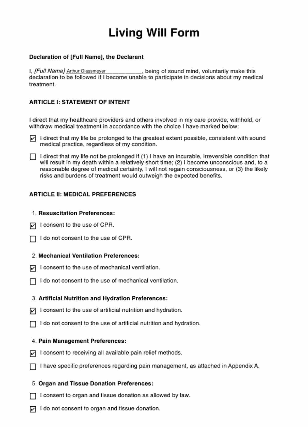
A Living Will Form, also known as an advance directive, is a legally binding document that outlines an individual's preferences for medical treatment should they become unable to communicate their wishes due to severe illness, injury, or incapacitation. It is an essential tool within the broader context of healthcare and estate planning.
The Living Will Form encompasses various aspects of end-of-life care and medical treatment, including but not limited to decisions about life-sustaining treatments, resuscitation, artificial nutrition, hydration, and pain management. Its primary purpose is to ensure that healthcare providers and family members understand and comply with an individual's unique values and beliefs regarding medical care.
Unlike a Last Will and Testament, which distributes personal property upon death, a Living Will deals exclusively with the medical treatment one wishes to receive or avoid. The document becomes effective under specific conditions defined within the Living Will, such as terminal illness or permanent unconsciousness.
The is a statement of preferences and a proactive measure to prevent potential disputes and ethical dilemmas that may arise within a medical setting. Providing clear directives plays a crucial role in patient autonomy and respectfully handling sensitive medical scenarios.











