يتم استخدام نماذج إصدار HIPAA من قبل مقدمي الرعاية الصحية وشركات التأمين والمحامين ومنظمات الطرف الثالث الأخرى للحصول على موافقة كتابية للإفراج عن المعلومات الصحية السرية للمريض. هذه النماذج مطلوبة لضمان حماية البيانات وتخزينها بشكل آمن، على النحو المبين في لوائح HIPAA.

نموذج إصدار HIPAA
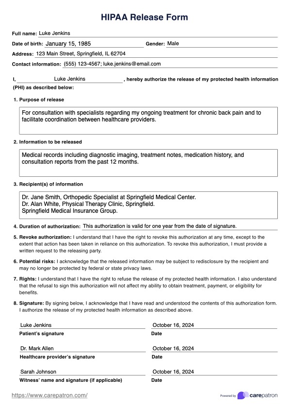
افهم كيفية عمل نموذج إصدار HIPAA عند الكشف عن المعلومات الطبية السرية. قم بتنزيل نموذج مجاني ومثال هنا.
نموذج إصدار HIPAA Template
Commonly asked questions
تُستخدم نماذج إصدار HIPAA كلما دعت الحاجة إلى مشاركة المعلومات الطبية السرية للمريض مع كيان خارجي. ويشمل ذلك عندما يرغب المرضى في الوصول إلى سجلاتهم أو عندما يشارك مقدم الرعاية الصحية المعلومات مع منظمة أخرى، مثل شركة التأمين أو المحامي.
يجب الاحتفاظ بنماذج إصدار HIPAA بأمان في نظام تسجيل إلكتروني أو ورقي. في حالة تخزين السجلات إلكترونيًا، يجب أن تكون السجلات مشفرة ومحمية بكلمة مرور لضمان التخزين الآمن ونقل المعلومات الصحية المحمية. يجب وضع النماذج الورقية في مكان آمن، مثل خزانة الملفات.
EHR and practice management software
Get started for free
*No credit card required
Free
$0/usd
Unlimited clients
Telehealth
1GB of storage
Client portal text
Automated billing and online payments










