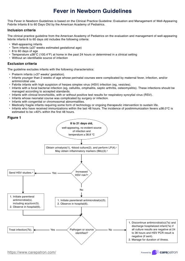
La fiebre en un recién nacido suele definirse como una temperatura corporal de 38°C (100,4°F) o superior cuando se mide por vía rectal.

Guia para el manejo de la fiebre en recién nacidos
Obtenga nuestro folleto Guías para la fiebre en el recién nacido. Infórmese sobre los umbrales de fiebre, las causas y cuándo buscar atención médica. Descargue nuestra plantilla gratuita para profesionales de la salud.
Guia para el manejo de la fiebre en recién nacidos Template
Commonly asked questions
Debe buscar atención médica inmediatamente si su bebé prematuro es menor de 3 meses y tiene una fiebre de 38°C (100,4°F) o más o si muestra signos de angustia como letargo, dificultad para respirar o llanto persistente.
Entre las causas más comunes de fiebre en recién nacidos y lactantes pequeños se incluyen las infecciones (como los resfriados, la gripe o las infecciones del tracto urinario), las reacciones a las vacunas y el sobrecalentamiento debido a un exceso de ropa o de calor ambiental.
EHR and practice management software
Get started for free
*No credit card required
Free
$0/usd
Unlimited clients
Telehealth
1GB of storage
Client portal text
Automated billing and online payments










