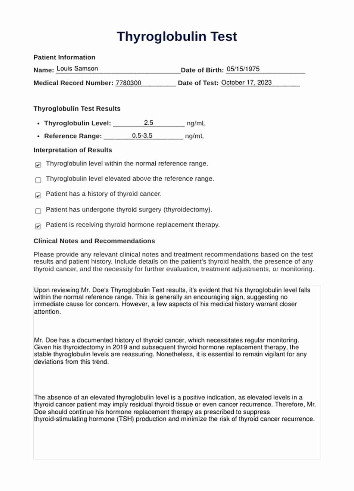
The test is important in assessing the effectiveness of thyroid cancer treatment, monitoring for disease recurrence, and managing thyroid health in patients who have undergone thyroid surgery or receive thyroid hormone replacement therapy.

Thyroglobulin
Understand your thyroid health with a Thyroglobulin Test – a vital tool in monitoring thyroid conditions. Learn more today.
Use Template
Thyroglobulin Template
Commonly asked questions
It is usually ordered after thyroid cancer treatment, particularly if the patient has undergone a thyroidectomy. It may also be ordered during follow-up visits to monitor thyroid health.
Normal levels indicate effective treatment or the absence of significant thyroid tissue. Elevated levels may suggest thyroid cancer recurrence or the presence of thyroid tissue.
EHR and practice management software
Get started for free
*No credit card required
Free
$0/usd
Unlimited clients
Telehealth
1GB of storage
Client portal text
Automated billing and online payments










